怎么選擇振蕩器里的頻率及負載電容
來源:http://m.74747.cn 作者:泰河電子工程部 2019年10月28
怎么選擇振蕩器里的頻率及負載電容?
在石英諧振器作為電感性阻抗的振蕩電路中,等效電路可以用電感和電感的串聯來表示,如圖5所示。圖5(a)表示為串聯電路,而(b)表示并聯電路。 這里,電容CL是從石英晶體諧振器的端部觀察振動側時的有效電容,通常稱為負載電容,-R和-p是振動側的負電阻。
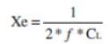
在這種類型的振蕩電路中,石英諧振器作為電感電抗Xe和電阻Re的串聯電路工作,如圖6所示,其振蕩頻率表示為:
振蕩開始的條件是Re <| -在(a)的情況下為R,并且Rp> | -p |在(b)的情況下,其中Re是石英晶體諧振器的串聯電路的串聯諧振電阻(等效串聯電阻)和電容CL,Rp是石英并聯電路的并聯諧振電阻(等效并聯電阻)諧振器和電容CL。
為了在考慮到石英諧振器的低激發電平下的等效電阻增加的同時具有振蕩,與Re相比,電路的負電阻(-R)必須大很多。
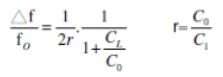
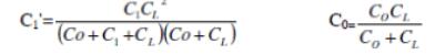
因此,振蕩器頻率是由石英晶體諧振器的電當量常數和振蕩側的負載電容決定的,而與振蕩電路的配置無關(工作溫度和驅動電平要單獨指定),因此,在制造或使用時必須明確定義振蕩電路。石英諧振器和串聯的負載電容CL的等效電路如圖7所示,此時的常數如下:
這時的振蕩頻率增加了△f,我們有:
其中△f是與串聯諧振頻率fo的差。 重新排列此方程式將得出以下方程式:
在將CO / C1稱為電容比的情況下,該電容比用作知道由于負載電容的變化引起的振蕩頻率的變化量的大小的基準。
圖8顯示了基本AT截止石英晶體諧振器和第三泛音諧振器的負載電容與頻率變化比的特性。
如圖8所示,需要使用一個基本諧振器并選擇一個小的負載電容,以便通過改變負載電容來獲得寬頻率范圍內的變化量。
在石英諧振器作為電感性阻抗的振蕩電路中,等效電路可以用電感和電感的串聯來表示,如圖5所示。圖5(a)表示為串聯電路,而(b)表示并聯電路。 這里,電容CL是從石英晶體諧振器的端部觀察振動側時的有效電容,通常稱為負載電容,-R和-p是振動側的負電阻。
在這種類型的振蕩電路中,石英諧振器作為電感電抗Xe和電阻Re的串聯電路工作,如圖6所示,其振蕩頻率表示為:
.jpg)
為了在考慮到石英諧振器的低激發電平下的等效電阻增加的同時具有振蕩,與Re相比,電路的負電阻(-R)必須大很多。
因此,振蕩器頻率是由石英晶體諧振器的電當量常數和振蕩側的負載電容決定的,而與振蕩電路的配置無關(工作溫度和驅動電平要單獨指定),因此,在制造或使用時必須明確定義振蕩電路。石英諧振器和串聯的負載電容CL的等效電路如圖7所示,此時的常數如下:
.jpg)
.jpg)
.jpg)
.jpg)
如圖8所示,需要使用一個基本諧振器并選擇一個小的負載電容,以便通過改變負載電容來獲得寬頻率范圍內的變化量。
.jpg)
正在載入評論數據...
相關資訊
- [2024-08-26]黑神話悟空的爆火居然有7AD0080...
- [2024-05-20]Suntsu振蕩器SGO12S-10.000M系列...
- [2024-03-08]JAUCH在電動賽車領域中大放異彩...
- [2024-03-07]Cardinal晶振使用雙源方法有效測...
- [2023-10-11]關于領先全球的Transko晶振公司...
- [2023-10-09]MTI-Milliren晶振提供的定制解決...
- [2023-10-08]領先同行的富士晶振在電動車充電...
- [2023-06-21]低抖動振蕩器AK2APAF1-156.2500...


.jpg)
